TOP 自分の思い 邪馬台国 バイク 瓢箪 霊場巡り 囲碁と将棋 CAD/CAM 生産管理 海外の思い出 索引
グラフの種類
グラフは使われ方で種類がある
1.連続型

仕事の流れ図や、お店で人が並んでいる様子等単純だけに用途が広い
2.ブランチ型

ネットワーク接続図にはこの表現が使われる
放射型ともいわれる
中心の直線に強い意味がある場合バス型と呼ばれる
線の終点が必ずしも点で無い事に特徴がある
3.ツリー型
開始が1本または一つの点で、そこから枝分かれしていく

代表的な使われ方は部品構成表である
製品がどのような部品からできているか、また部品は更に孫部品に分解されて
構成されている事を示す、製品だけつまり左端だけ特別に四角で表現したりする
先頭が一つで先に行くに従い増える様子が木に似ている
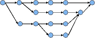
4.クローズ型

方向のあるクローズ型

上記ツリー型の製品を仕上げるのにどういう順番で作業するかを示すのにつかわれる
複数の部品を組み合わせる等の場合は子部品が出来ていないと作業できない
また日数等の作業時間を線の長さで表現する
基本的に矢印はバック出来ないルールを課するものが多い
5.自由型

電車の路線図等に使われる、点と線の結び方に特別なルールが無いとこうなる
6.ループ型

周回していることに特別な意味のある場合にはループ型と呼ばれる
電車でも山手線の様に同じ電車が周回する場合ループ型となる
行きと帰りで料金等が違う場合もあり、その場合は矢印で2本を交互に書いて表現する
TOP